Ответы
Ответ дал:
2
Ответ:
Пошаговое объяснение:
Приложения:

Ответ дал:
2
Ответ:
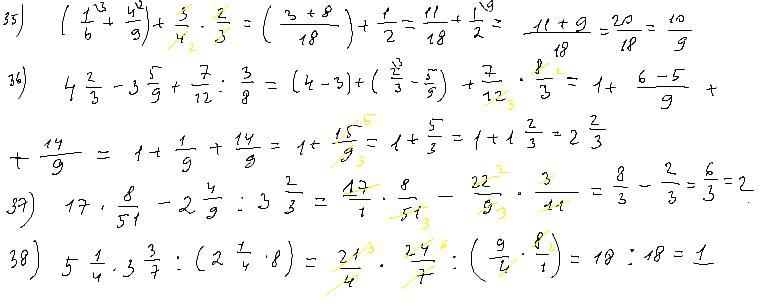
№35:
1)
2)
3)
№36:
1)
2)
3)
4)
№37:
1)
2)
3)
4)
5)
№38:
1)
2)
3)
4)
5)
6)
ffgtvmilana:
Здравствуйте, извените, а можете пожалуйста расписать прямо по действиям. Просто так не понятно.
Вас заинтересует
2 года назад
2 года назад
2 года назад
2 года назад
8 лет назад