• Предмет: Математика
  • Автор: Аноним
  • Вопрос задан 7 лет назад

помогите ппжж вдвдццдцд​

Приложения:

Аноним: да

Ответы

Ответ дал: Lunixmolodoy
3

Ответ:

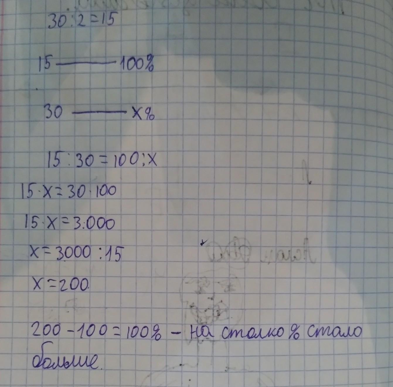
30:2=15 компьютеров получила школа в прошлом году.

15к - 100%

30к - ?%

100*30:15=3000:15=200% - 30 компьютеров в этом году.

200%-100%= на 100% в этом году школа получила больше чем в прошлом.

Пошаговое объяснение:


Аноним: правильно?
Lunixmolodoy: зачем ты отметил нарушение!??
Аноним: ты ему
Аноним: ??
Аноним: это целовек
Аноним: отметил ало
Аноним: ой я тоже
Аноним: даа почемууу
Аноним: я думал нажал на коментарий
Аноним: сорри
Ответ дал: Аноним
7

Все на фото)))))))))))))))

Приложения:

Lunixmolodoy: не надо у меня списывать!
Lunixmolodoy: ой
Lunixmolodoy: стоп
Аноним: у сеня по другому
Аноним: меня
Аноним: все у меня правильно
Вас заинтересует