Ответы
                                            Ответ дал: 
                                                                                    
                                        
                                            
                                                
                                                
                                                
                                                    1
                                                
                                            
                                        
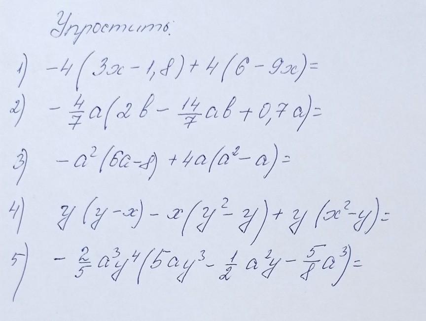
                                    1) -4(3х-1,8)+4(6-9х) = -12х+7,2+23-36х = -48х+31,2
- Знак дроби выглядит как "/", знак степени выглядит так "^", например x^2.
2) -4/7a(2b-14/7ab+0,7a) = -4/7a(2b-2ab+7/10a) = -8/7ab+8/7a^2b-2/5a^2
3) -a^2(6a-8)+4a(a^2-a) = -6a^3+8a^2+4a^3-4a^2 = -2a^3+4a^2
4) y(y-x)-x(y^2-y)+y(x^2-y) = y^2-xy-xy^2+xy+x^2-y^2 = -xy^2+x^2y
5) -2/5a^3y^4(5ay^3-1/2a^2y-5/8a^3) = -2/5a^3y^4*5ay^3-2/5a^3y^4(-1/2a^2y)-2/5a^3y^4(-5/8a^3) = -2a^3y^4ay^3+1/5a^3y^4a^2y+a^3y^4*1/4a^3 = -2a^4y^7+1/5a^5y^5+1/4a^6y^4
                    bunafsha2014:
                    спасибо большое  
                
            
                    
                    обращайтесь!
                
            Вас заинтересует
                
                        2 года назад
                    
                
                        2 года назад
                    
                
                        2 года назад
                    
                
                        2 года назад
                    
                
                        8 лет назад
                    
                
                        8 лет назад
                    
                
                        9 лет назад
                    
                