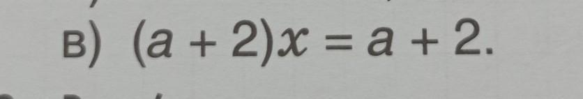
Помогите пожалуйста решить уравнение с параметрами. Пожалуйста с решением не только ответ!!!! На фото!!!
Приложения:

Mikail2006:
икс = 0
Ответы
Ответ дал:
1
ответ смотрите на фотографии
Приложения:

Вас заинтересует
2 года назад
2 года назад
2 года назад
8 лет назад
8 лет назад
9 лет назад