Пожалуйста, решите как можно быстрее. Желательно до 14:00 13.01.2022
Приложения:

restIess:
Язык какой нужен?
Ответы
Ответ дал:
1
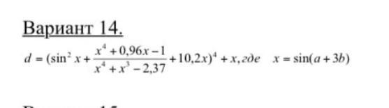
var
d, x, a, b : double;
begin
readln(a, b);
x := sin(a+3*b);
d := power(power(sin(x), 2) + ((power(x, 4) + 0.96*x - 1.0) / (power(x, 4) + power(x, 3) - 2.37)) + 10.2*x, 4) + x;
writeln(d);
end.
Вас заинтересует
2 года назад
2 года назад
9 лет назад
9 лет назад