• Предмет: Алгебра
  • Автор: Аноним
  • Вопрос задан 7 лет назад

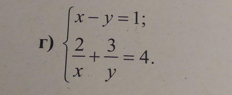
алгебра 9 клас, без графика!​

Приложения:

Cohendd: Что непонятно? Подставьте у=х-1 во второе уравнение. Получите квадратное и найдите его корни. ОДЗ!

Ответы

Ответ дал: Thatgirl
0

Ответ:

(1.75; 0.75),  (2; 1)

Объяснение:

1)x=y+1

2)2/x+3/y=4

2/x•xy+3/y•xy=4xy

2y+3x=4xy

2y+3(y+1)=4y(y+1)

2y+3y+3=4y²+4y

4y²-y-3=0

D=b²-4ac=1-(-3)×4×4=1+48=49

y=1±7/8

y1=-0.75

y2=1

3)x1=y1+1

x1=-3/4+1=1.75

4)x2=y2+1

x2=1+1=2

ответ:(1.75; 0.75),  (2; 1)

Ответ дал: almazeratti
1

Ответ:

x1 = 2; y1 = 1. x2 = 1,75; y2 = 0,75.

См. вложение, если часть решения отображается некорректно.

Объяснение:

\displaystyle\\\left \{ {{x-y=1} \atop {\frac{2}{x}+\frac{3}{y}  =4}} \right., выразим x из первого уравнения, подставим во второе и решим его:

\displaystyle\\\left \{ {{x=y+1} \atop {\frac{2}{x}+\frac{3}{y}  =4}} \right.

\displaystyle\\\frac{2}{y+1}+\frac{3}{y} = 4 \\\frac{2y+3y+3}{y(y+1)} = 4\\\frac{5y+3}{y(y+1)} = \frac{4}{1}\\5y+3=4y^2+4y\\4y^2-y-3=0\\\\\left \{ {{y=1} \atop {y=0,75}}

x - 1 = 1\\x=2

x-0,75=1\\x=1,75

Приложения:

Аноним: не пойму че за штука там где красное((
almazeratti: А где красное?
Аноним: После вторых скобок
almazeratti: Скорее всего, у Вас проблемы с отображением. Я прикрепил вложение, посмотрите, должно помочь)
Аноним: Спасибо большое)
Вас заинтересует