• Предмет: Алгебра
  • Автор: Kaldapol
  • Вопрос задан 7 лет назад

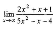
Допоможіть будь ласка знайти ліміт


А хоча вже не треба. Я сама все розв'язала. Розкажіть краще як у вас справи? ​

Приложения:

Ответы

Ответ дал: Аноним
1

Ответ: 2/5

Объяснение:

если х стремится к бесконечности, а в числителе и знаменателе многочлены, находите максимальные степени числителя и знаменателя. если у числителя степень окажется больше.  чем у знаменателя, ответ ∞, если меньше,  то нуль. а если показатели равны. как здесь. они равны два. то ответ - отношение коэффициентов при одинаковых максимальных степенях переменных т.е.  2/5

можете и пролопиталить. тот же ответ.

можете и разделить на х² числитель и знаменатель. и все, кроме 2 в числителе и 5 в знаменателе будет нулями. ответ тот же.

Ответ дал: NNNLLL54
0

Ответ:

Неопределённость вида  \dfrac{\infty }{\infty }  . Раскрываем с помощью деления числи-теля и знаменателя на старшую степень .

\lim\limits_{x \to \infty}\, \dfrac{2x^2+x+1}{5x^2-x-4}=\Big[\ \dfrac{:x^2}{:x^2}\ \Big]=\lim\limits_{x \to \infty}\, \dfrac{2+\frac{1}{x}+\frac{1}{x^2}}{5-\frac{1}{x}-\frac{4}{x}}=\lim\limits_{x \to \infty}\, \dfrac{2+0+0}{5-0-0}=\dfrac{2}{5}


bravlstarslubimaaigr: чел.
Вас заинтересует