• Предмет: Алгебра
  • Автор: isidon22
  • Вопрос задан 7 лет назад

СРОЧНО!!!!!!!!!!!!!!!!!!!!!!!!!

Приложения:

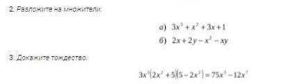
isidon22: a) 3x^3+x^2+ 3x+1 б) 2х+2у-x^2-ху
isidon22: 3x^3 (2x^2+5)(5-2x^2) =75x^3-12x^7

Ответы

Ответ дал: Mong01
0
Серьезно? Это так легко…
Вас заинтересует