2 неупругих шара массой 0,5 и 1 кг движутся навстречу другу со скоростями 7 и 8 м/с. Какова будет скорость шаров после неупругого столкновения
С объяснением
Ответы
Ответ:
-3м/c
Объяснение:
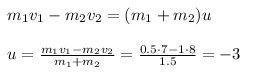
При неупругом ударе шарики слипаются и движутся после удара с общей скоростью u. Этого нам достаточно, чтобы ее найти (закон сохранения импульса нам в помощь)
Минус - потому что шарики слипшиеся летят против оси. Модуль их скорости равен 3м/c

Задача на закон сохранения импульса тел.
Дано: m1=0,5 кг; m2=1 кг; V1=7 м/с; V2=8 м/с; V' - ?
Удар неупругий, значит при ударе шары соединятся и будут вместе двигаться со скоростью V', сохраняя при этом суммарный импульс до столкновения.
р=р'
m1V1 - m2*V2=(m1 + m2) * V'
V'=(m1V1-m2V2)/(m1+m2)
V'=(0,5*7 - 1*8)/(0,5+1)=(3,5-8)/1,5=-4,5/1,5=-3 м/с.
Мы посчитали, что общая скорость после столкновения направлена в сторону V1, если получили отрицательное значение, значит она направлена в сторону V2.
Ответ: 3 м/с в сторону движения второго шара.