• Предмет: Алгебра
  • Автор: Fanatik0708
  • Вопрос задан 7 лет назад

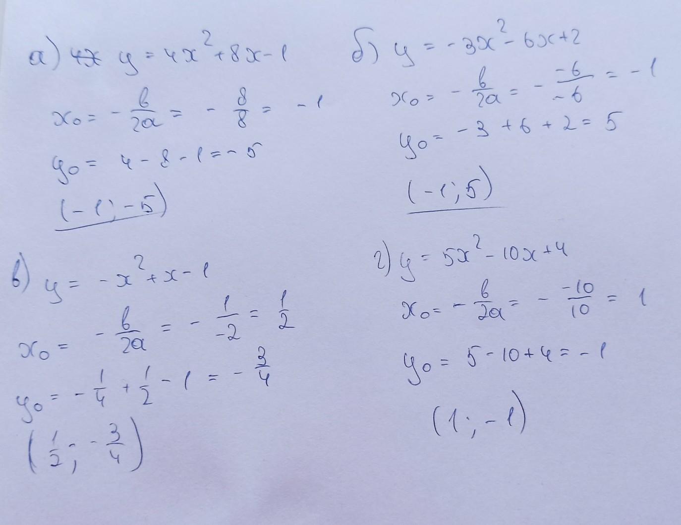
3. Найдите координаты вершины параболы: а) 4х² + 8x – 1; b) у = -3х² – 6х + 2; ​

Приложения:

Ответы

Ответ дал: georgpokataev
1

решение в прикрепленной фотографии

Приложения:
Вас заинтересует