• Предмет: Алгебра
  • Автор: 6rkrmdd8qq
  • Вопрос задан 7 лет назад

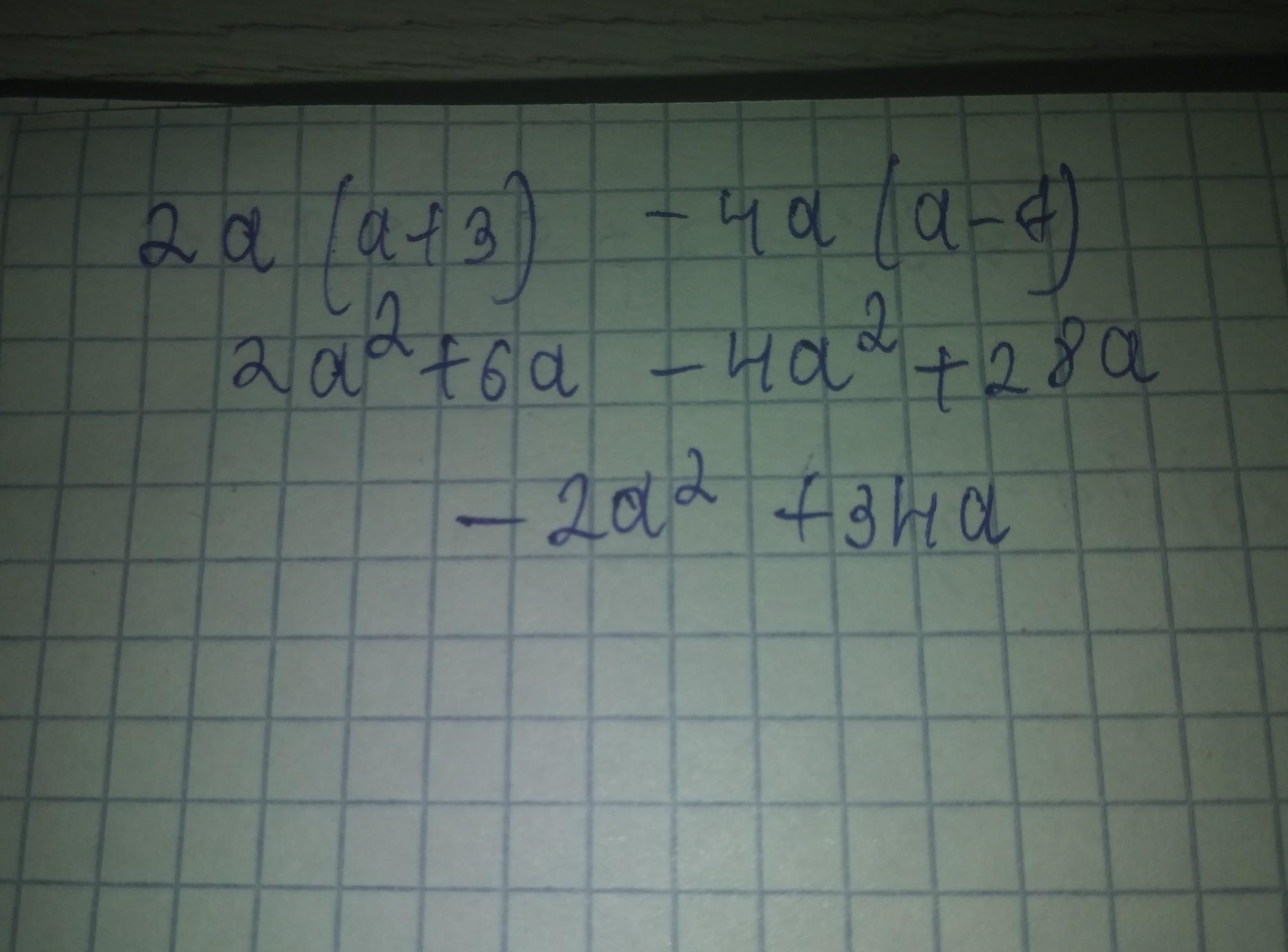
2a(a+3)-4a(a-7) упростите

Ответы

Ответ дал: aristoktararistokrat
1

Ответ:

на фото

Обьяснение

Приложения:
Ответ дал: Leyy007
1
Держи. Раскрываем скобки.
Приложения:
Вас заинтересует