• Предмет: Математика
  • Автор: fatimalala126
  • Вопрос задан 7 лет назад

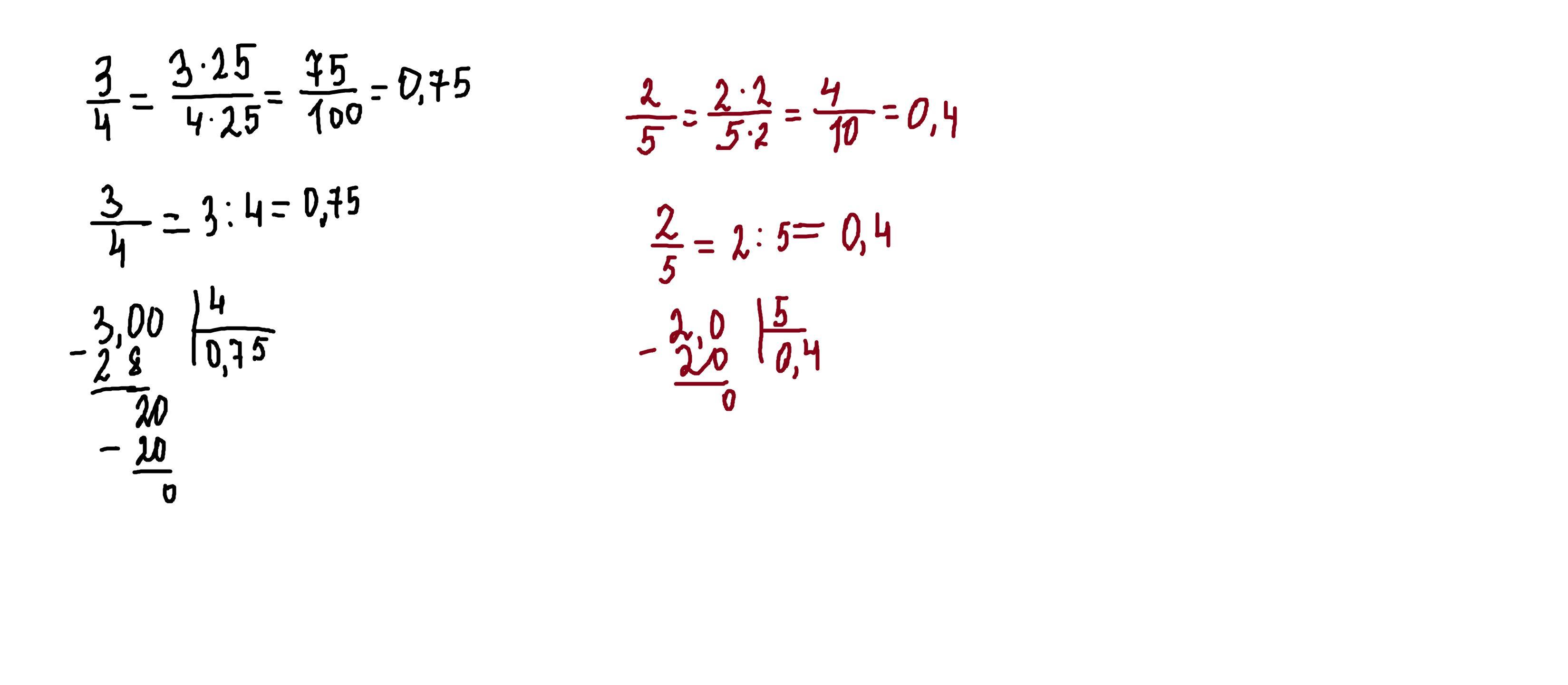
0 Запишите обыкновенные дроби в виде десятичных дробей двую собами по образцу. 1. Записав эквивалентные дроби со знаменателем 10, 100 и т.д. 2. Делением числителя на знаменатель. 4,0 5 4 4.2 8 0,8 о 1 3 8 3 5 5.2 10 40 2 8 25 4 4 = 4:5 = 0,8 40 5 о = Оy |0,8 с​

Приложения:

Ответы

Ответ дал: parus77
4

Ответ:

Пошаговое объяснение:

решение смотри внизу

Приложения:

fatimalala126: лучший!!!
Аноним: да
Вас заинтересует