• Предмет: Математика
  • Автор: viktoriahanina06
  • Вопрос задан 7 лет назад

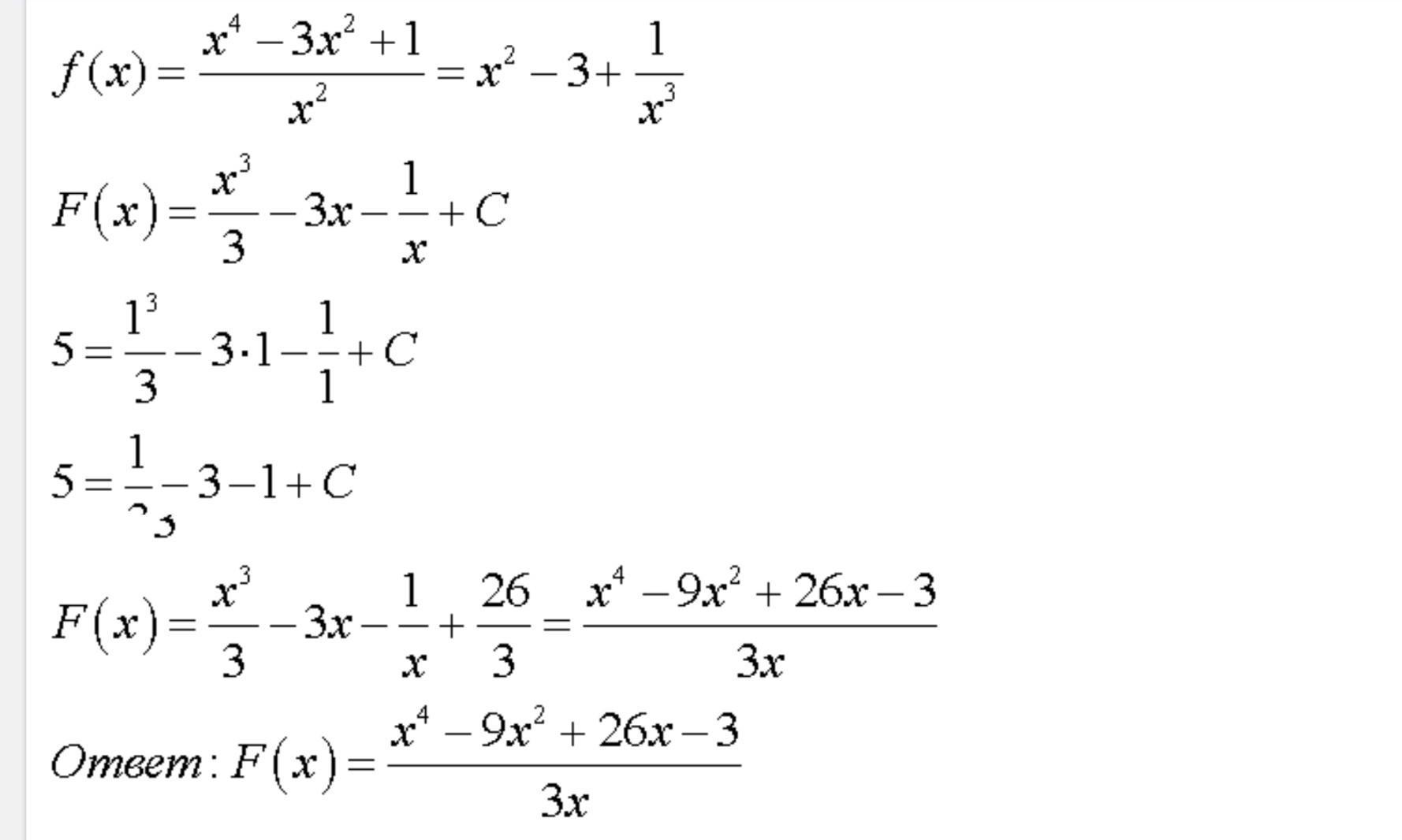
Знайдіть первісну F(x) для функцiї f(x) = 3x ^ 2 + 1/(x ^ 2) - 1 якщо F(1) = 5​

Ответы

Ответ дал: rinnnnaa17
0

Ответ:

F(x)=x^4-9x^2+26x-3/3x

Пошаговое объяснение:

Как-то так

Приложения:
Вас заинтересует