• Предмет: Математика
  • Автор: grom70
  • Вопрос задан 7 лет назад

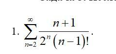
Исследовать на сходимость ряд

Приложения:

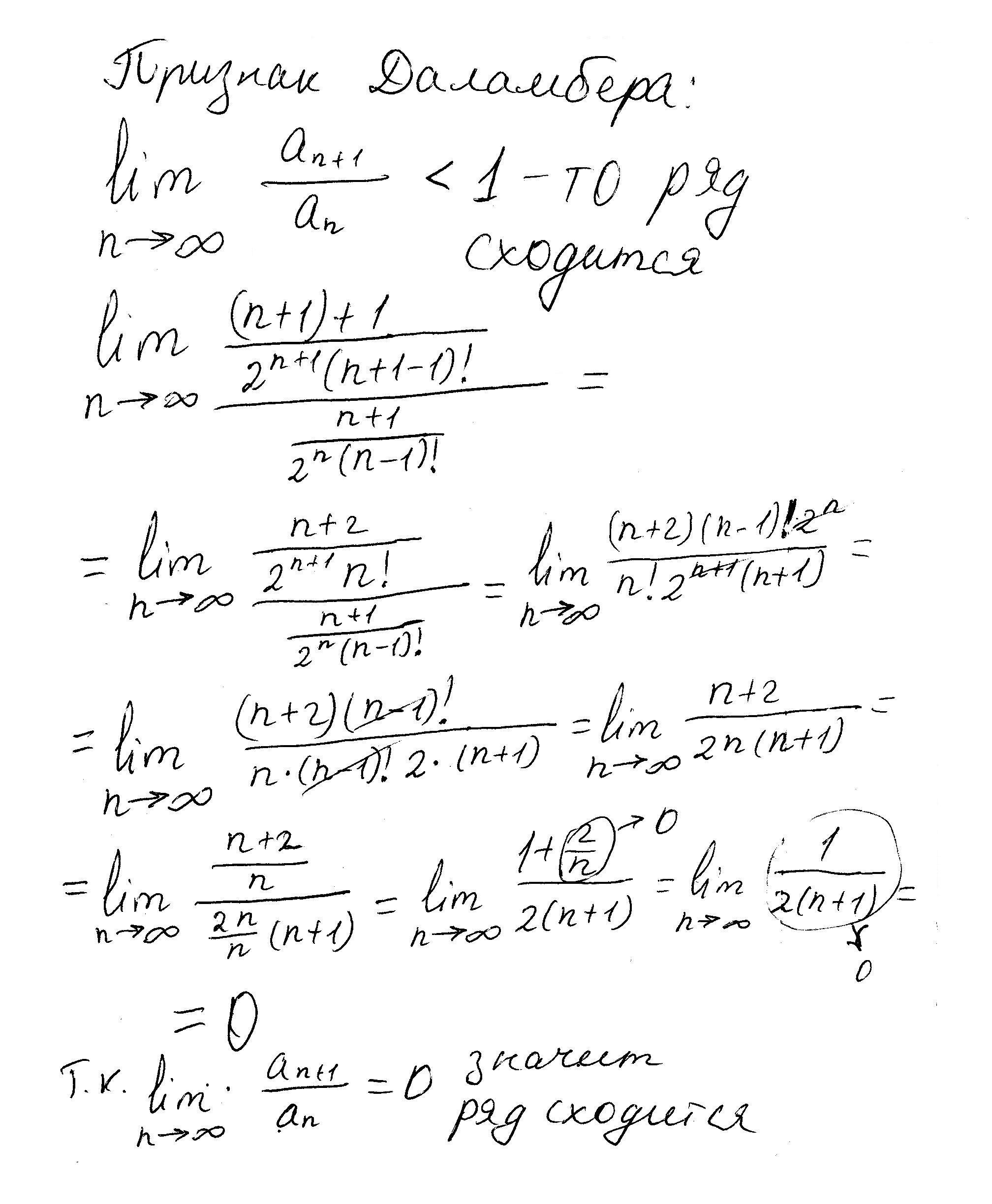
bearcab: ряд сходится. Довольно быстро

Ответы

Ответ дал: bearcab
2

Ответ:

ряд сходится

Пошаговое объяснение:

Решение в приложении

Приложения:
Вас заинтересует