• Предмет: Алгебра
  • Автор: varsabicloud
  • Вопрос задан 7 лет назад

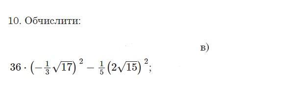
Розв'язати рівняння, дуже треба! (письмово)

Приложения:

Ответы

Ответ дал: elena7113
0

Объяснение:

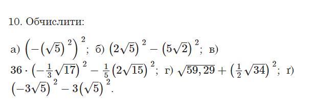
Думаю всё понятно. Удачи!!!

Приложения:

varsabicloud: Дуже дякую) але там не один приклад.
Вас заинтересует