• Предмет: Математика
  • Автор: AndreykaGr
  • Вопрос задан 7 лет назад

100 БАЛЛОВ Помогите пожалуйста решить, желательно подробно.

Приложения:

Ответы

Ответ дал: ssollidesign
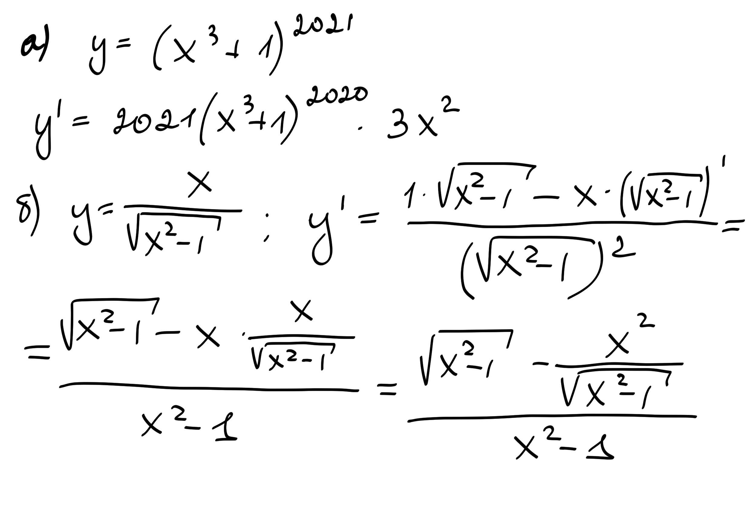
1

Ответ:

Пошаговое объяснение:

а) Сложная функция. Сначала берем как степенную, потом умножаем на производную той, что в скобках

б) По формуле производной от дроби, учитывая, что знаменатель - сложная функция

Приложения:

AndreykaGr: спасибо!)))
Вас заинтересует