Тема отношение пропорция процент. Помогите решить 74 номер пожалуйста. В ответах написано 16.

Ответы
Объяснение:
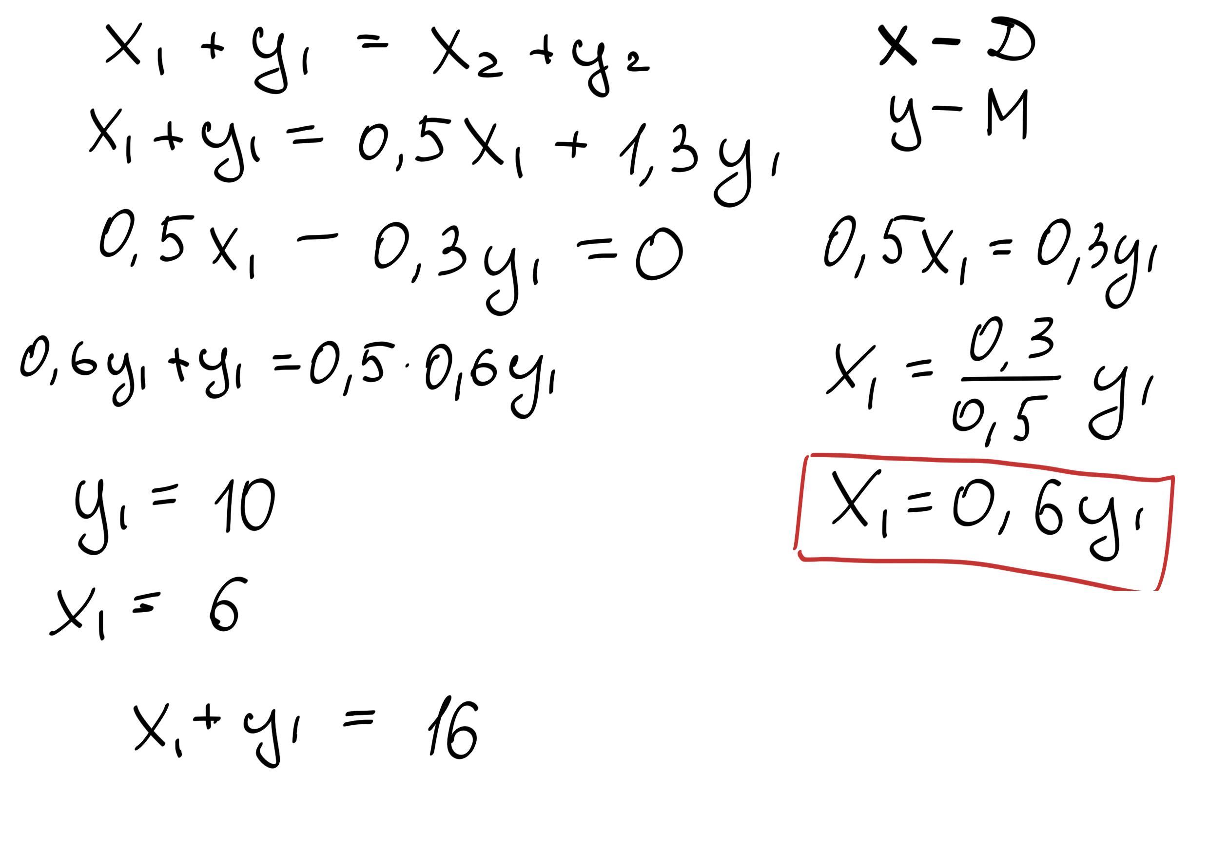
Пусть М - это количество мальчиков в классе, а Д - количество девочек. Всего человек в классе (М + Д).
Увеличиваем количество мальчиков на 30%: было 100%, стало 130%. Переводим в дробь: 130% = 1,3. Следовательно мальчиков стало 1,3М.
Уменьшаем количество девочек на 50%: было 100% девочек, станет 50%. Переводим в дробь: 50% = 0,5. Следовательно, девочек стало 0,5Д. Количество человек в классе (1,3М + 0,5Д).
Так как количество человек в классе не изменилось, получается уравнение:
М + Д = 1,3М + 0,5Д.
Д - 0,5Д = 1,3М - М.
0,5Д = 0,3М.
Умножаем на 10:
5Д = 3М.
Делим на 5М:
Д/М = 3/5.
То есть количество девочек относится к количеству мальчиков как 3 к 5.
Пусть в классе 3 девочки, при уменьшении на 50% их станет 0,5 * 3 = 1,5 (такое невозможно).
Пусть в классе 6 девочек (тогда мальчиков будет 10), при уменьшении на 50% их станет 6 * 0,5 = 3 девочек. Увеличиваем количество мальчиков на 30%: 10 * 1,3 = 13 мальчиков. Получаются целые числа.
Следовательно, наименьшее количество учеников в классе равно 6 + 10 = 16 человек.
Ответ:
См. картинку. Находим зависимость x от y, далее подбираем так, чтобы после изменения пропорций получались целые числа. Выбираем наименьшие подходящие.
Объяснение:
