Вычислите в процентах массовую долю азота в нитрите аммония. Запишите число с точностью до целых.
Ответы
Ответ дал:
1
Ответ:
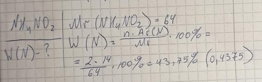
W(N)=43,75% (0,4375)
Объяснение:
Прикрепляю фото с объяснением
Приложения:

Вас заинтересует
2 года назад
2 года назад
8 лет назад
9 лет назад
9 лет назад