• Предмет: Геометрия
  • Автор: ERRORx404
  • Вопрос задан 7 лет назад

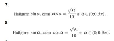
Помогите решите 2 задачи на триганометрическое тождество

Приложения:

Ответы

Ответ дал: 22081960
0

Ответ:7) \frac{7}{10} 8) \frac{1}{10}

Объяснение:sina=\sqrt{1-\frac{51}{100} } =\sqrt{\frac{49}{100} } =\frac{7}{10} \\\sqrt{1-\frac{91}{100} } =\sqrt{\frac{9}{100} } =\frac{1}{10}


ERRORx404: второе неправильно
Вас заинтересует