• Предмет: Геометрия
  • Автор: ERRORx404
  • Вопрос задан 7 лет назад

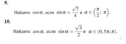
Помогите решить 2 задачи на тригонометрическое тождество

Приложения:

Ответы

Ответ дал: 22081960
0

Ответ:  9) -3/4;  10) -1/2

Объяснение:cosa=-\sqrt{1-\frac{7}{16} }=-\frac{3}{4}

cosa=-\sqrt{1-\frac{3}{4} } =-\frac{1}{2}

Вас заинтересует