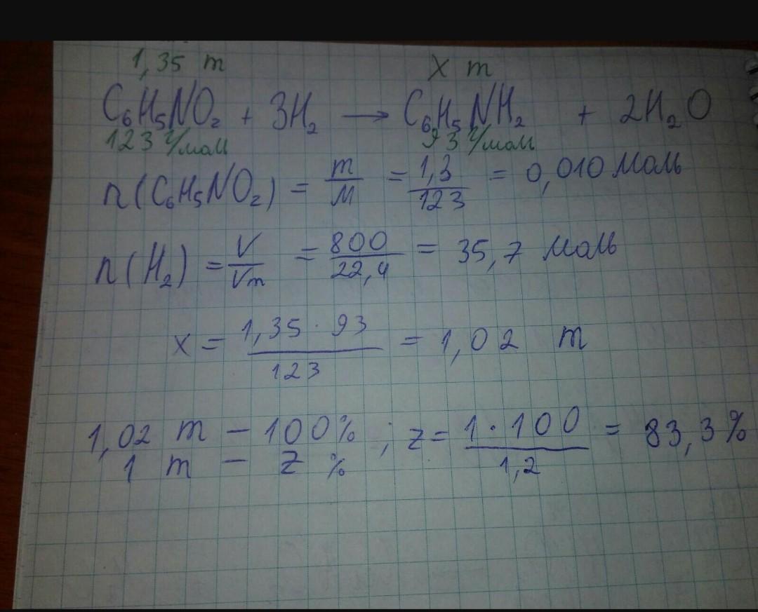
Для виробництва аніліну масою 1 т затратили нітробензен масою 1,35 т та водень
об’ємом 800 м3. Обчисліть вихід продукту.
Ответы
Ответ дал:
1
Ответ:
Відповідь на фото!!!!!!!!!!!
Приложения:

Вас заинтересует
2 года назад
2 года назад
2 года назад
2 года назад
8 лет назад
8 лет назад
9 лет назад