• Предмет: Математика
  • Автор: akadyr64
  • Вопрос задан 7 лет назад

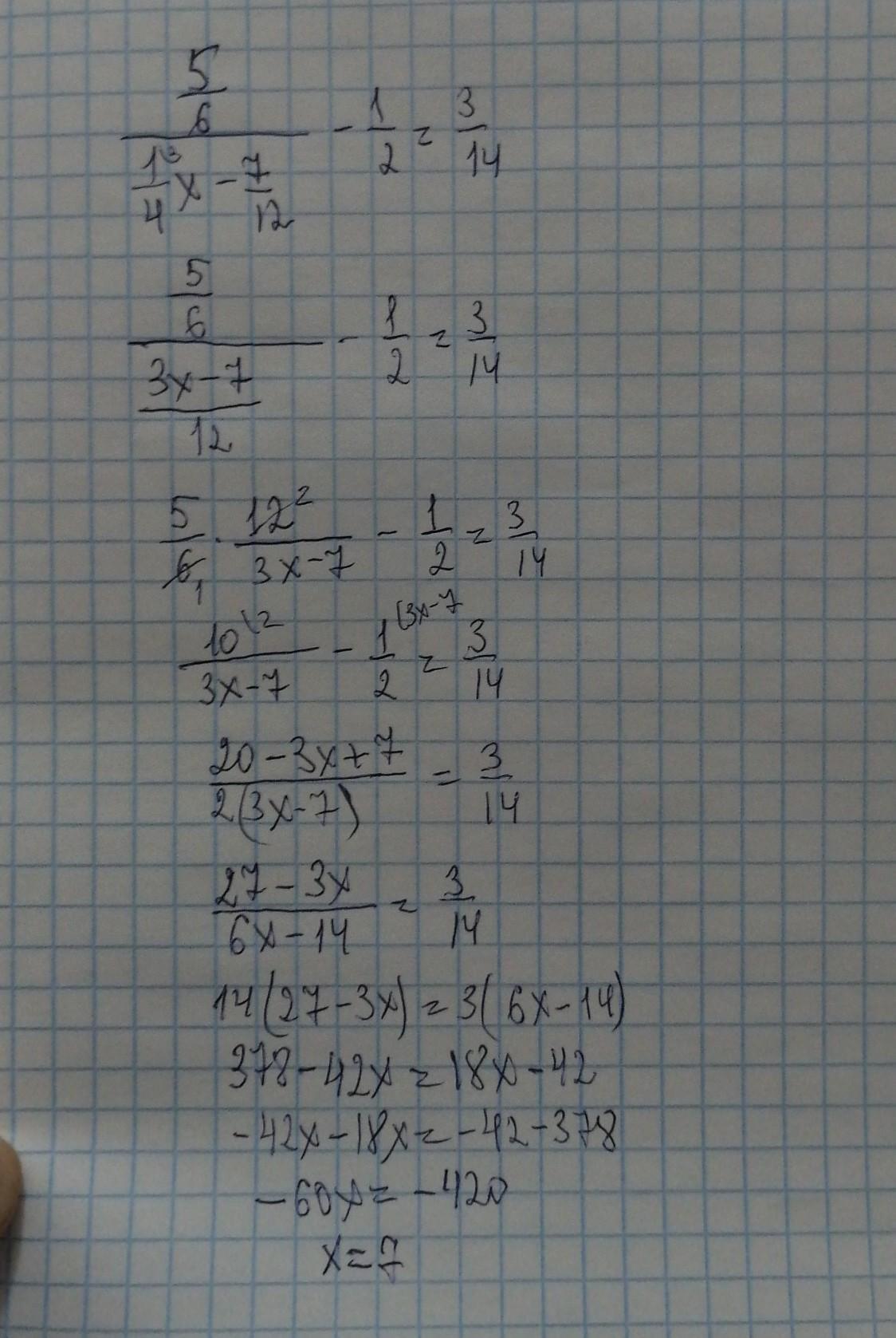
Помогите пожалуйста,заранее говорю в учебнике есть ответ 5

Приложения:

Ответы

Ответ дал: ludmilaksenija2005
1

Ответ:

Решение на фото - ___-_------

Приложения:
Вас заинтересует