• Предмет: Физика
  • Автор: MrЭкзистенциальность
  • Вопрос задан 10 лет назад

Может мне кто-нибудь обьяснить, почему степень в минусе? :с

Приложения:

Ответы

Ответ дал: WaitKerry
0
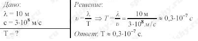
т.к. при делении чисел с одинаковыми показателями степени вычитаются,а у 10тки в числители степень-1
поэтому 10^1-10^8=10^-7
Ответ дал: MrЭкзистенциальность
0
Огромнейшее спасибо, простите неуча :с
Ответ дал: v1248
0
Так как колебания волны происходят очень быстро, то период колебания Т будет намного меньше 1 секунды. В данном случае полное колебание осуществляется за 3 миллионных долей секунды. Математически это эквивалентно 0.0000003 секунды.
Вас заинтересует
11 лет назад