• Предмет: Математика
  • Автор: BloodRainbow
  • Вопрос задан 7 лет назад

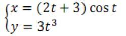
Помогите решить, найти y' и y''.

Приложения:

Ответы

Ответ дал: natalyabryukhova
3

Ответ:

Производная первого порядка :

\displaystyle        y'_x=\frac{9t^2}{2cost-(2t+3)sint}

Производная второго порядка :

\displaystyle        y''_x=\frac{36t\;cost-54t\;sint-18t^3cost-27t^2cost}{(2cost-(2t+3)\;sint)^3}

Пошаговое объяснение:

Надо найти производные первого и второго порядка от функции, заданной параметрически.

\displaystyle        \left \{ {{x=(2t+3)cost} \atop {y=3t^3}} \right.

Найдем производную первого порядка по формуле:

\displaystyle        \boxed {y'_x=\frac{y'_t}{x'_t} }

1.  Найдем производную первого порядка  \displaystyle        y'_x.

Производную произведения найдем по формуле:

\displaystyle       \boxed { (uv)'=u'v+uv'}

Также воспользуемся формулами:

\displaystyle        \boxed {c'=0}\;\;\;\;\;  \boxed{(x^n)'=nx^{n-1}}\;\;\;\;\;  \boxed{(cosx)'=-sinx}

\displaystyle        x'_t=(2t+3)'*cost+(2t+3)*(cost)'=2*cost+(2t+3)(-sint)=\\\\=2cost-(2t+3)sint

\displaystyle        y'_t=3*3t^2=9t^2

\displaystyle        y'_x=\frac{9t^2}{2cost-(2t+3)sint}

2. Найдем производную второго порядка по формуле:

\displaystyle        \boxed {y''_x=(y'_x)'_x=\frac{(y'_x)'_t}{x'_t} }

Нам понадобится формула производной частного:

\displaystyle        \boxed {\left(\frac{u}{v}\right)'=\frac{u'v-uv'}{v^2}  }

Также

\displaystyle       \boxed { (sinx)'=cosx}

Найдем производную \displaystyle        (y'_x)'_t :

\displaystyle        \frac{9*2t*(2cost-(2t+3)sint)-9t^2*(2(-sint)-(2*sint+(2t+3)*cost)}{(2cost-(2t+3)sint)^2} =\\\\=\frac{18t(2cost-(2t+3)sint)-9t^2(-2sint-2sint+2t\;cost+3cost)}{(2cost-(2t+3)sint)^2}=\\\\=\frac{36t\:cost-18t(2t\;sint\;+3sint)+18t^2\;sint+18t^2\;sint-18t^3cost-27t^2cost)}{(2cost-(2t+3)sint)^2}  =\\\\\frac{36t\;cost-36t^2\;sint-54t\;sint+36t^2\;sint-18t^3cost-27t^2cost}{(2cost-(2t+3)sint)^2} \\\\\\=\frac{36t\;cost-54t\;sint-18t^3cost-27t^2cost}{(2cost-(2t+3)\;sint)^3}

3. Найдем производную второго порядка \displaystyle        y''_x :

\displaystyle\displaystyle       \frac{36t\;cost-54t\;sint-18t^3cost-27t^2cost}{(2cost-(2t+3)\;sint)^2*(2cost-(2t+3)sint)} =\\\\=\frac{36t\;cost-54t\;sint-18t^3cost-27t^2cost}{(2cost-(2t+3)\;sint)^3}


versachexdior: можете помочь мне
Вас заинтересует