• Предмет: Математика
  • Автор: jsk8yhpvgw
  • Вопрос задан 7 лет назад

Помогите решить уравнение пожалуйста

Приложения:

Ответы

Ответ дал: olenka209079
0

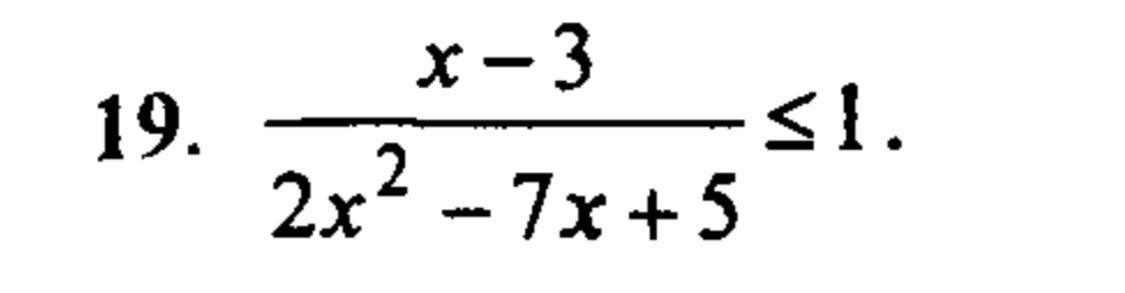
19.\frac{x-3}{2x^2-7x+5}\leq1\\\frac{x-3}{2x^2-7x+5}\leq1,x\neq1,x\neq\frac{5}{2}\\\frac{x-3}{2x^2-7x+5}-1\leq0\\\frac{x-3-(2x^2-7x+5)}{2x^2-7x+5}\leq0\\\frac{x-3-2x^2+7x-5}{2x^2-2x-5x+5}\leq0\\\frac{8x-8-2x^2}{2x\cdot(x-1)-5(x-1)}\leq0\\\frac{-2x^2+8x-8}{(x-1)\cdot(2x-5)}\leq0\\\frac{-2(x^2-4x+4)}{(x-1)\cdot(2x-5)}\leq0\\\frac{-2(x-2)^2}{(x-1)\cdot(2x-5)}\leq0\\\left \{{{-2(x-2)^2\leq0}\atop{(x-1)\cdot(2x-5)>0}}\right.\\ \left \{{{-2(x-2)^2\geq0}\atop{(x-1)\cdot(2x-5)<0}}\right.

\left \{ {{x\in R} \atop {x\in (-\infty,1)\cup(\frac{5}{2},+\infty)}} \right.\\ \left \{ {{x=2} \atop {x\in(1,\frac{5}{2})}} \right.\\x\in(-\infty,1)\cup(\frac{5}{2},+\infty)\\x=2\\x\in(-\infty,1)\cup(\frac{5}{2},+\infty)\cup \{2\},x\neq1,x\neq\frac{5}{2}\\x\in(-\infty,1)\cup(\frac{5}{2},+\infty)\cup\{2\}

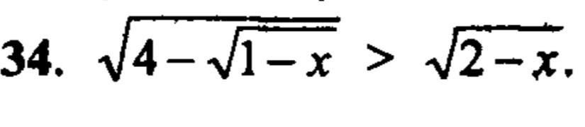
34.\sqrt{4-\sqrt{1-x}}>\sqrt{2-x}\\\sqrt{4-\sqrt{1-x}}>\sqrt{2-x},x\in[-15,1]\\ 4-\sqrt{1-x}>2-x\\-\sqrt{1-x}>2-x-4\\-\sqrt{1-x}>-2-x\\\sqrt{1-x}<2+x\\\sqrt{x-1}<2+x,2+x\geq0\\\sqrt{1-x}<2+x,2+x\leq0\\x\in(-\infty,\frac{-5-\sqrt{13}}{2})\cup(\frac{-5+\sqrt{13}}{2},+\infty),x\geq-2\\x\in\varnothing,x<-2\\x\in(\frac{-5+\sqrt{13}}{2},+\infty)\\x\in\varnothing\\x\in(\frac{-5+\sqrt{13}}{2},+\infty),x\in[-15,1]\\x\in(\frac{-5+\sqrt{13}}{2},1]

Вас заинтересует