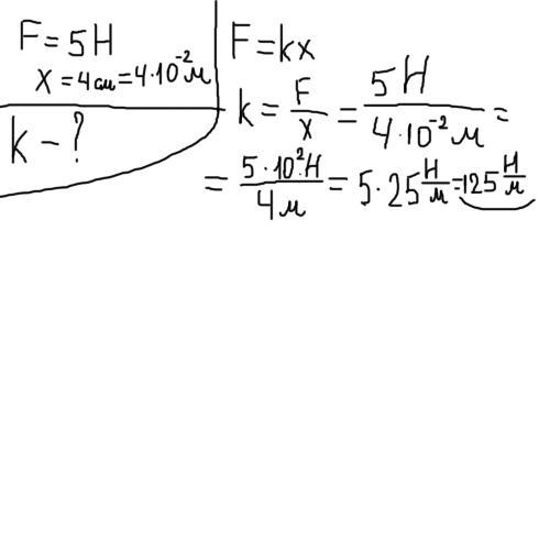
Под действием силы 5 М пружина может растянуться на 4 см, рассчитайте коэффициент жесткости пружины
Ответы
Ответ дал:
1
Ответ:
125 Н/м
Объяснение:
Приложения:

Вас заинтересует
2 года назад
2 года назад
2 года назад
9 лет назад
9 лет назад