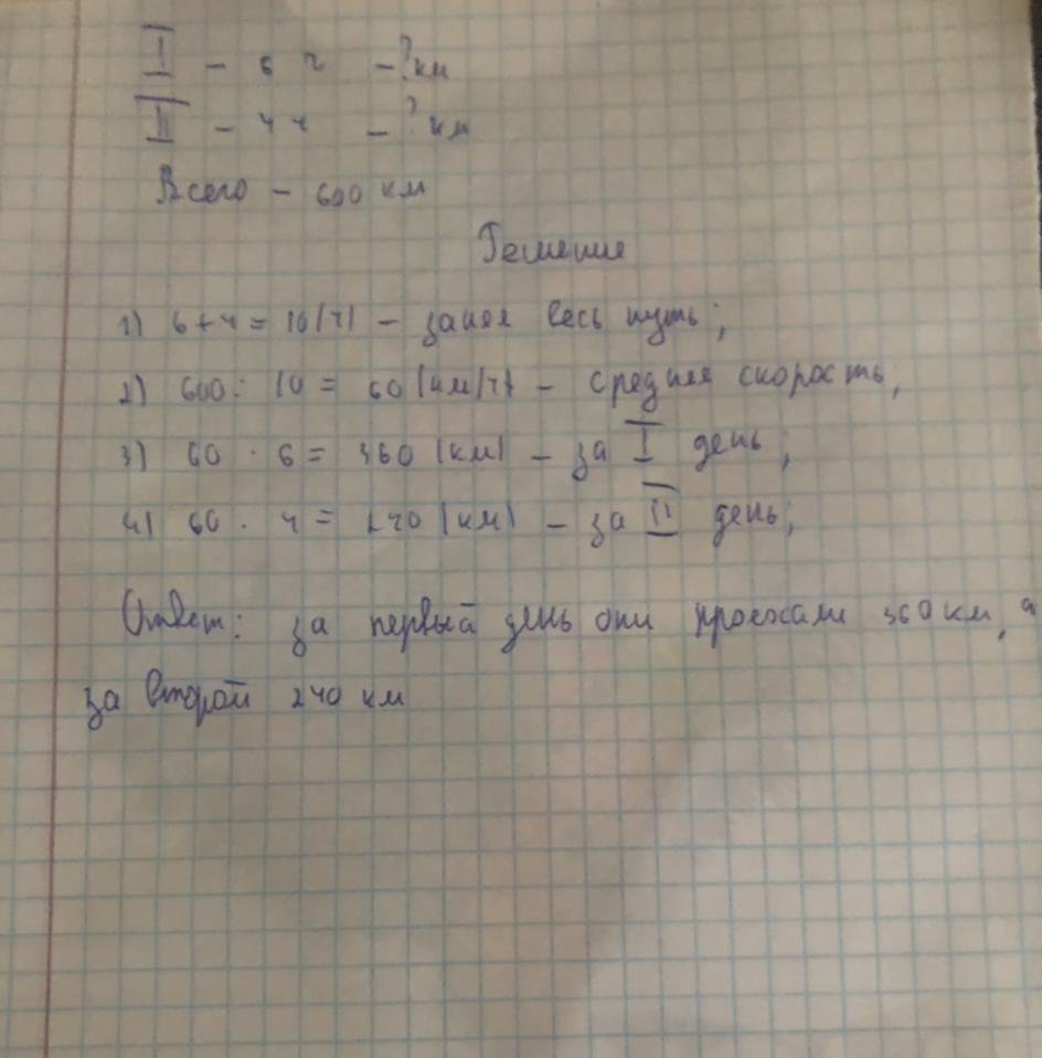
автотуристы в первый день были в пути 6:00 а во второй 4 часа Всего они проехали 600 км Какое расстояние туристы проезжали каждый день если Они ехали с одинаковой средней скоростью
с решением и пояснением
СРОЧНО ДАМ 39 БАЛЛОВ
Ответы
Ответ дал:
3
Надеюсь разберёшься в почерке
Приложения:

abytovanasiba020:
БОЛЬШОЕ СПАСИБО
Ответ дал:
1
Решим данную задачу по действиям с пояснениями.
1) 6 + 4 = 10 часов — автотуристы были в пути за два дня вместе, так как в первый день они были в пути 6 часов, а во второй — 4 часа;
2) 600 : 10 = 6 километров в час — скорость автотуристов;
3) 6 * 6 = 36 километров — расстояние, которое проехали автотуристы в первый день;
4) 6 * 4 = 24 километра — расстояние, которое проехали автотуристы во второй день.
Ответ: 36 километров; 24 километра
Вас заинтересует
2 года назад
2 года назад
2 года назад
2 года назад
8 лет назад
8 лет назад
9 лет назад