• Предмет: Алгебра
  • Автор: kseniianemigalova
  • Вопрос задан 7 лет назад

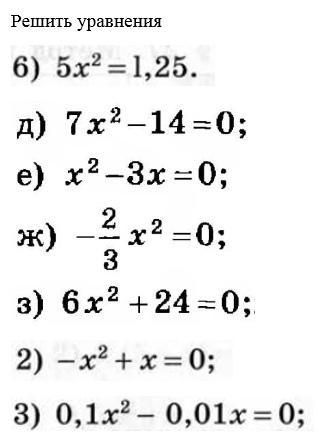
Решите ПОЖАЛУЙСТА!!! ОЧЕНЬ СРОЧНО!!! И если можно подробно!!

Приложения:

Ответы

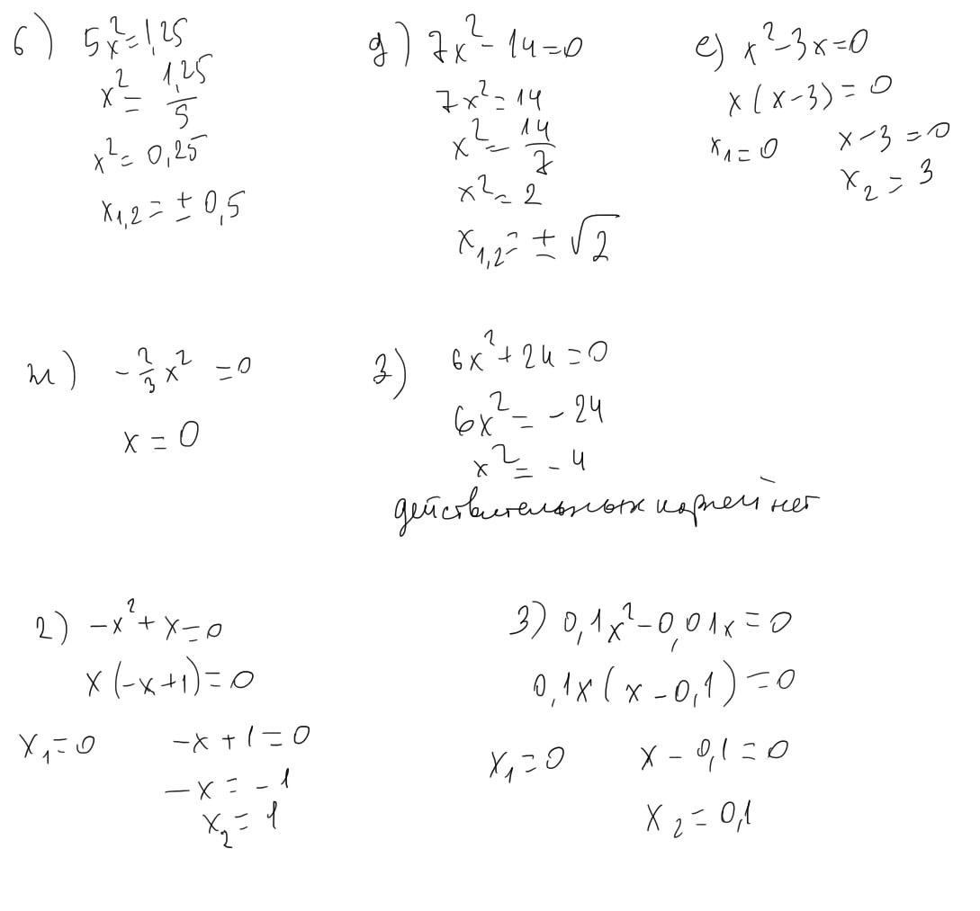
Ответ дал: Warlock1
1

Ответ:

так

Объяснение:

Приложения:
Вас заинтересует