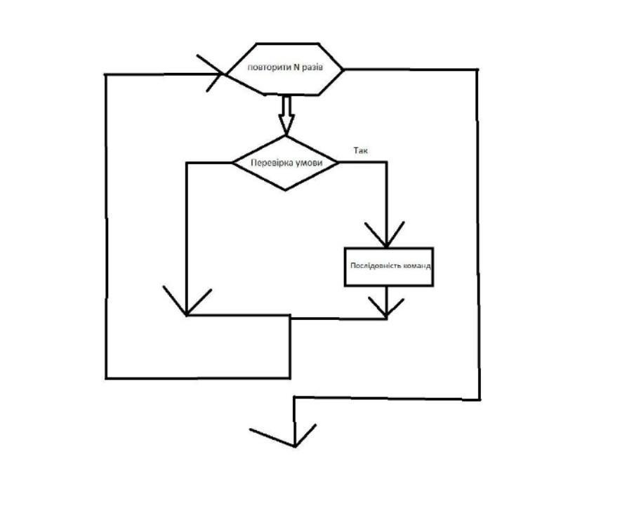
блок схему фрагмента алгоритму у якому в цикл з тічильником вкладено неповне розгалуження

Ответы

Ответ дал: aleksandrapahomova75
1

Ответ:

BoT

.........

Объяснение:

..........

Приложения:
Вас заинтересует