• Предмет: Алгебра
  • Автор: vladplotterofficial
  • Вопрос задан 7 лет назад

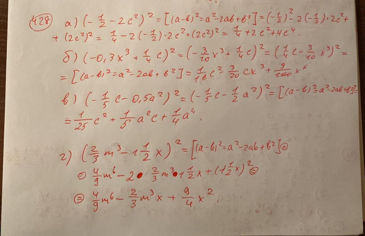
Привет! Если ты хорошо понимаешь алгебру, помоги пожалуйста с одним примером №428 Фото примера, ты можешь найти ниже ⬇️

Приложения:

Ответы

Ответ дал: yevheniiavz
1

Відповідь:

решение во вложении......

В условии задания не сказано, какой именно номер в 428 сделать надо, потому сделал все.

Приложения:
Вас заинтересует