• Предмет: Алгебра
  • Автор: qu3stionmark
  • Вопрос задан 7 лет назад

помоги пожалуйста
запишіть вирази у вигляді многочленів
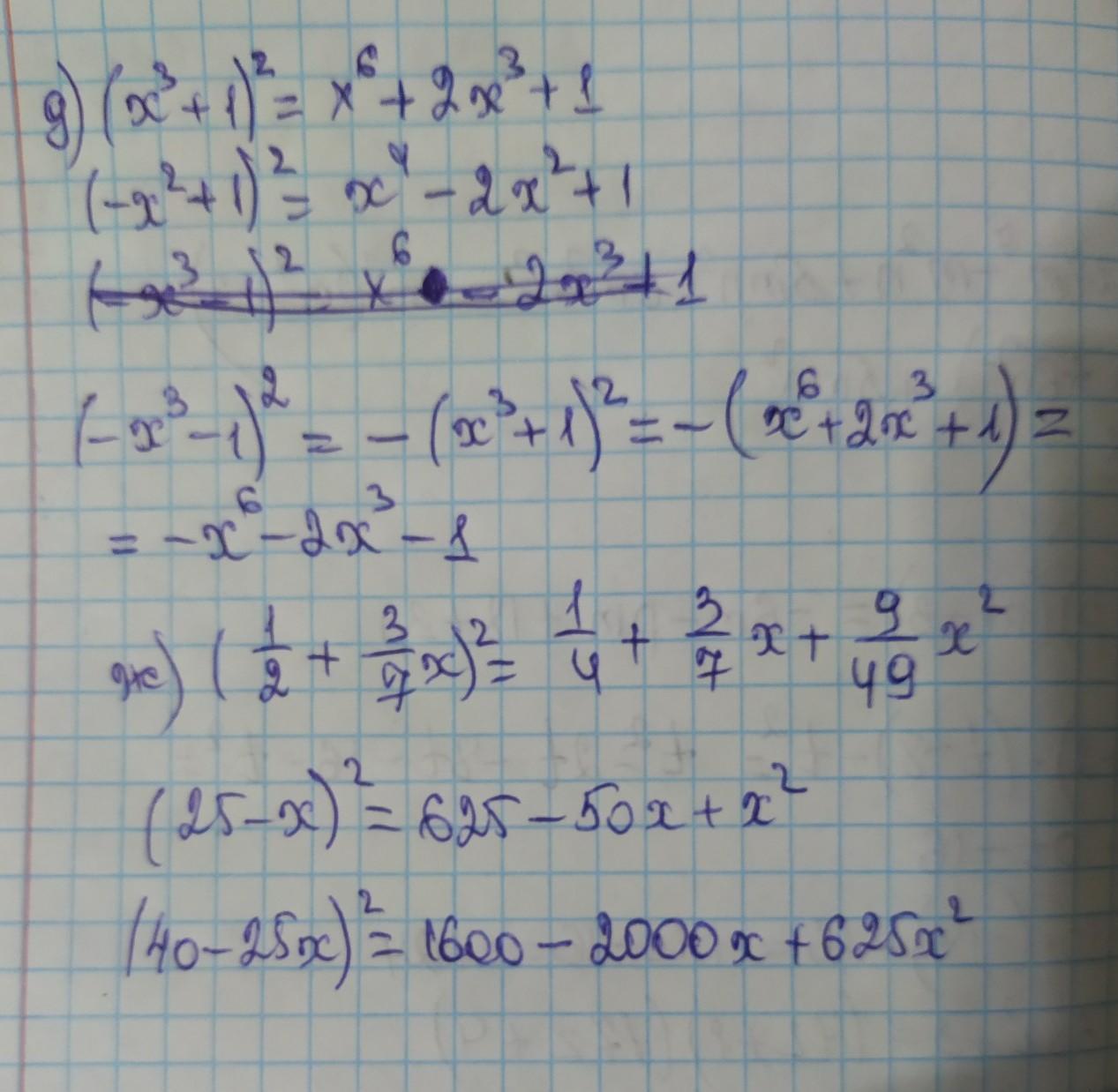
д) (x³+1)², (-x²+1)²,(-x³-1)²
ж) (1/2+3/7x)², (25-x)², (40-25x)²​

Ответы

Ответ дал: Ticher1997
0

Ответ:

ответ на этом фото ......

Приложения:
Вас заинтересует