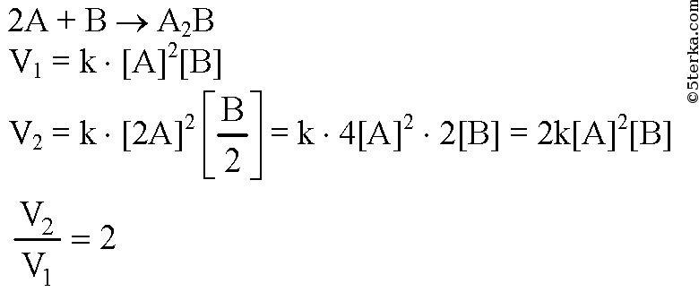
Как изменится скорость реакции 2А + В = А2В , если концентрацию вещества А уменьшить в 2 раза, а концентрацию вещества В увеличить в 4 раза?
Ответы
Ответ дал:
0
Ответ:
картинка ниже
Объяснение:
Приложения:

uliankagluhova71:
зменшиться в 2 рази
Вас заинтересует
2 года назад
2 года назад
2 года назад
8 лет назад
9 лет назад