• Предмет: Алгебра
  • Автор: anastasiahudakova573
  • Вопрос задан 7 лет назад

срочно с решением. заранее спасибо​

Приложения:

Ответы

Ответ дал: MagdaSinger
1

Ответ:

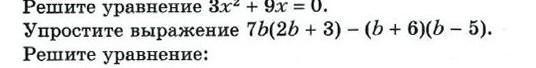
3x  ^ { 2  }  +9x=0 \\x(3x+9)=0\\ x=0 \\3x+9=0\\3x=-9\\x=-3\\

7b(2b+3)-(b+6)(b-5) =14b ^2 +21b-(b+6)(b-5)=14b ^2 +21b-(b ^2 -5b+6b-30)=14b ^2 +21b-b^2-b+30=13b ^2 +21b-b+30=13b ^2 +20b+30

Объяснение:

Вас заинтересует