• Предмет: Математика
  • Автор: zhangir11rakhmatulin
  • Вопрос задан 7 лет назад

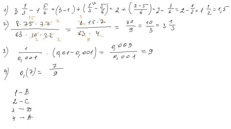
Найди пары выражений, чтобы получилось верные числовые равенства. Ответьте пожалуйста ​

Приложения:

Ответы

Ответ дал: dashulka22222
2

Ответ:

1-В, 2 -C, 3 -D, 4-A

Пошаговое объяснение:

Приложения:

masha01021: здравствуйте, помогите пожалуйста
Вас заинтересует