• Предмет: Алгебра
  • Автор: Аноним
  • Вопрос задан 7 лет назад

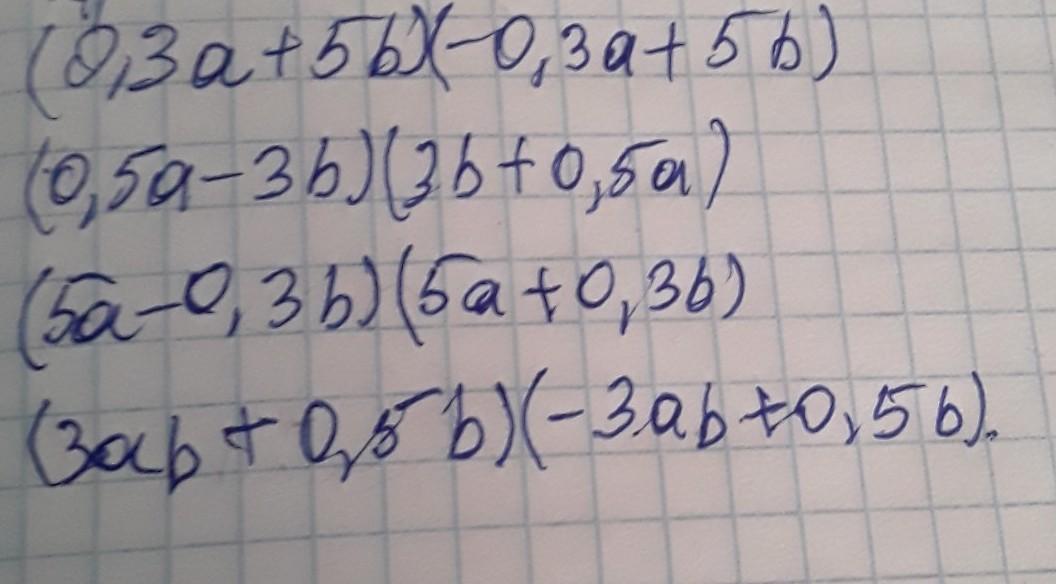
помогите пожалуеста. ​

Приложения:

Ответы

Ответ дал: MagdaSinger
1

Ответ:

(0.3a+5b)(-0.3a+5b) =-0.09a ^2+25b ^2=25b ^2-0.09a ^2\\ (0.5a-3b)(3b+0.5a) =0.25a ^2 -9b ^2\\ (5a-0.3b)(5a+0.3b) =25a ^2-0.09b ^2\\ (3ab+0.5b)(-3ab+0.5b) =0.25b ^2 -9a ^2 b ^2

Объяснение:


Аноним: спасибо
Вас заинтересует