• Предмет: Физика
  • Автор: leramilag
  • Вопрос задан 7 лет назад

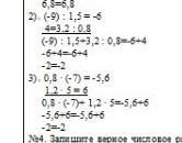
номер 2 памагите пжжжж​

Приложения:

Ответы

Ответ дал: erlanbalausa92
0

Ответ:

2 <  {2.2 {2 {433 { {xy -  \times  { \sqrt[ \sqrt{ {y663412}^{2} } ]{?} }^{2} }^{2} }^{?} }^{?} }^{?} }^{2}

Вас заинтересует