• Предмет: Алгебра
  • Автор: sigimagadasa
  • Вопрос задан 7 лет назад

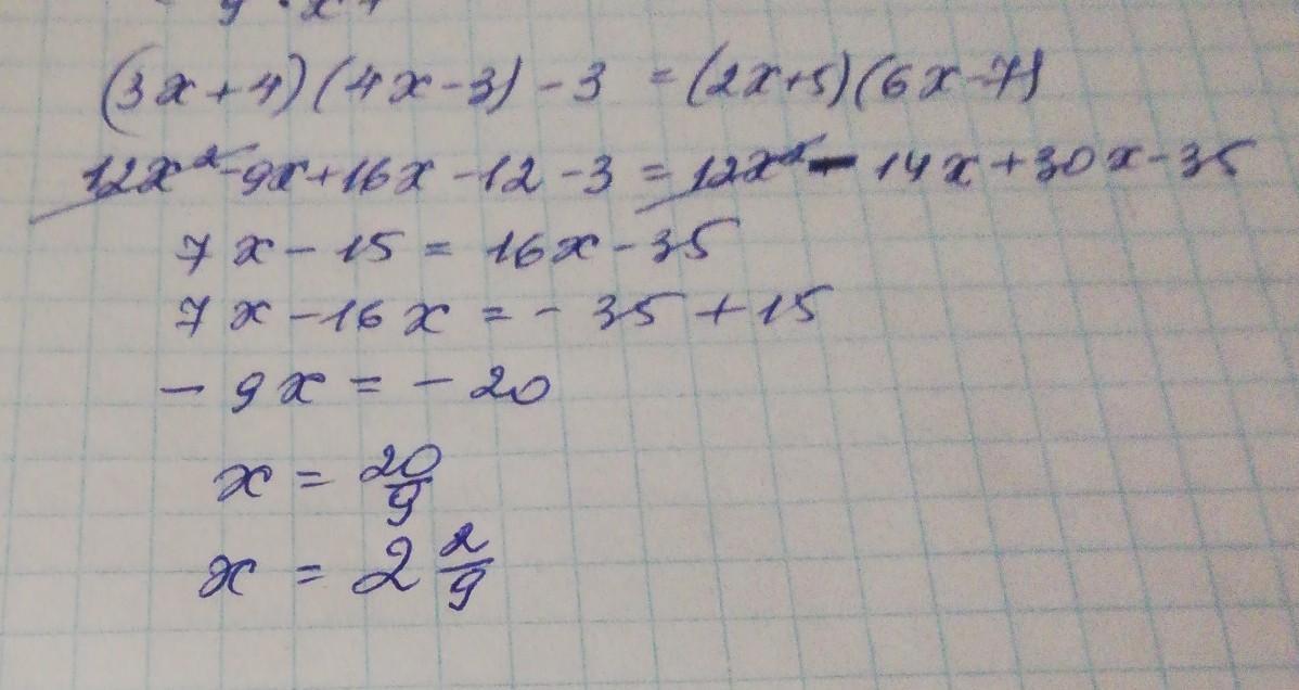
розвьяжить ривняння (3х+4)(4х-3)-3=(2х+5)(6х-7)​

Ответы

Ответ дал: larisaserova53
0

Ответ:

Смотри решение на фото...

Приложения:
Вас заинтересует