• Предмет: Алгебра
  • Автор: reyx3
  • Вопрос задан 7 лет назад

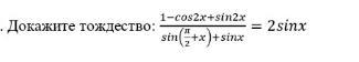
помогите с алгеброй пожалуйста:)

Приложения:

Ответы

Ответ дал: Glebgulika11
0

Ответ:

ответ на фото, с тебя лучший ответ)

Приложения:
Вас заинтересует