• Предмет: Математика
  • Автор: saparbekzanerke9
  • Вопрос задан 7 лет назад

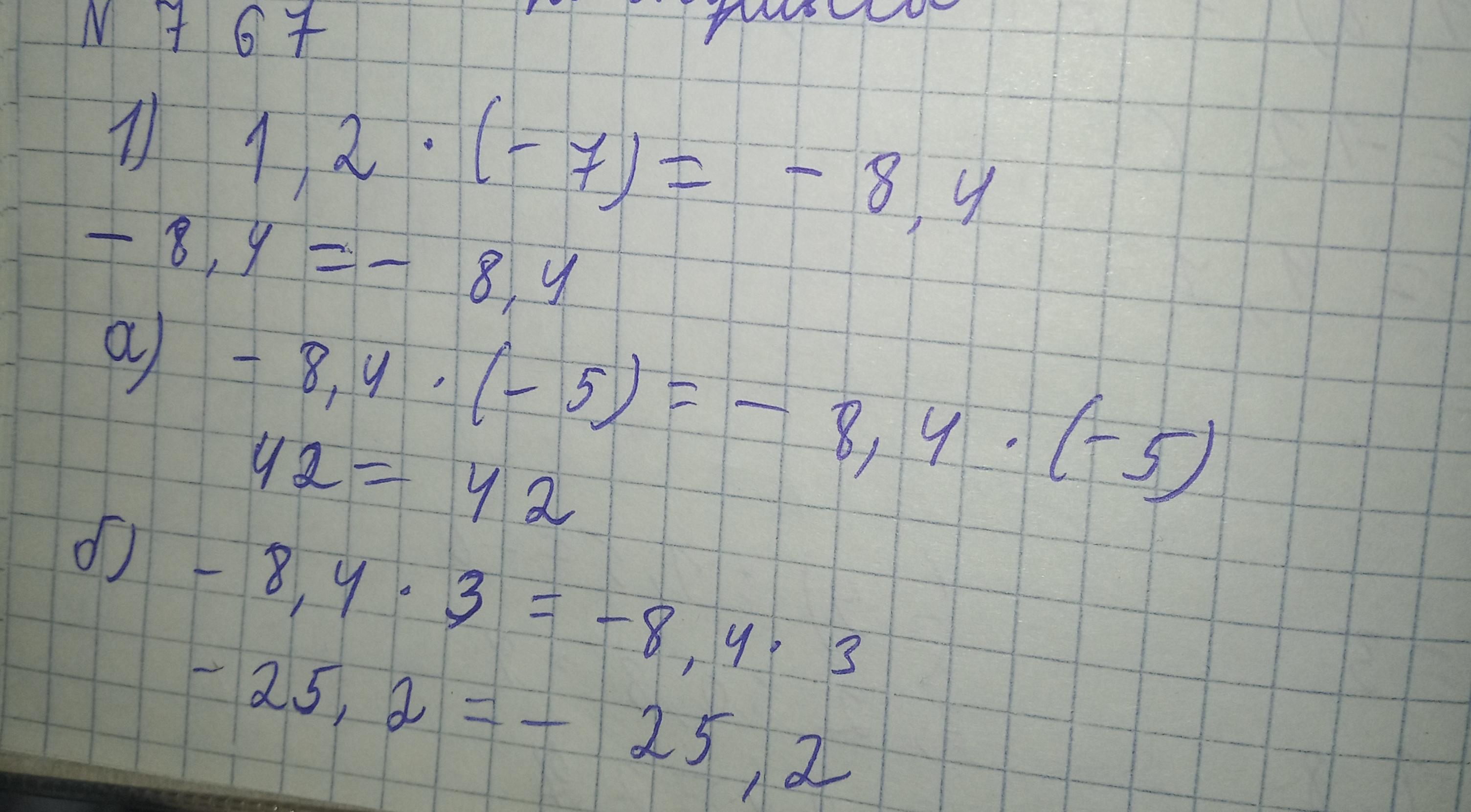
767. Запишите верное числовое равенство, которое получится, если обе части равенства: 1) 1, 2(- 7) = - 8,4 Умножить :в) на 0,5; 2) 5, 4 * 2 = 10, 8 разделить: в) на 6.​

Ответы

Ответ дал: NewYear2022
3

Ответ:

Ответ на фото!!!!!!!!!!

Приложения:

saparbekzanerke9: 2 я не очень понимаю
Ответ дал: askaradina09
2

Вот ответ

Думаю помогла :)

Приложения:

ryskalievasanali02: спасибо
Вас заинтересует