• Предмет: Математика
  • Автор: Erko3001
  • Вопрос задан 7 лет назад

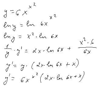
Найти производную

у=6х^x^2

Ответы

Ответ дал: dashulka22222
0

Ответ:

Пошаговое объяснение:

Приложения:
Вас заинтересует