• Предмет: Алгебра
  • Автор: yuma79
  • Вопрос задан 7 лет назад

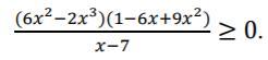
Помогите решить неравенство методом интервалов:

Приложения:

Ответы

Ответ дал: mrjerry13
1
от на фоткееееееееее
Приложения:
Вас заинтересует