Ответы
Ответ дал:
1
Ответ:
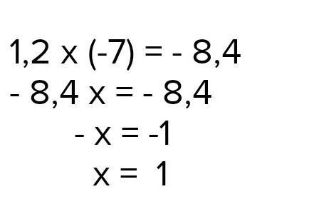
на фоточке ответик.........
Приложения:

Ответ дал:
1
Ответ:
1.8
Пошаговое объяснение:
5.4*2 =10.8:6=1.8 это на второй пример
Вас заинтересует
2 года назад
2 года назад
8 лет назад
8 лет назад