• Предмет: Математика
  • Автор: draf12363847737
  • Вопрос задан 7 лет назад

решите пожалуйста мне нужно для матеши пж​

Приложения:

draf12363847737: маленький ошибки некогда неслучаются
draf12363847737: хуяк хуяк
draf12363847737: прыг скок
fedorenko2612: Так а что найти нужно?

Ответы

Ответ дал: fedorenko2612
0

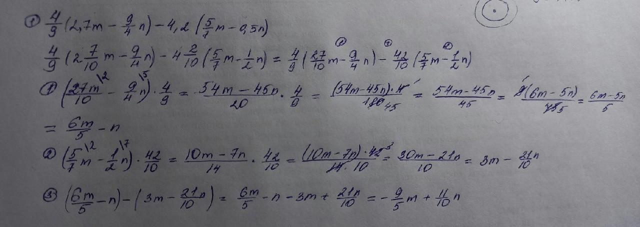
В прикрепленном файле)

Приложения:
Ответ дал: detsadovec224
0

.......................

Приложения:
Вас заинтересует