Ответы
Ответ дал:
2
Відповідь:
А)
Покрокове пояснення:
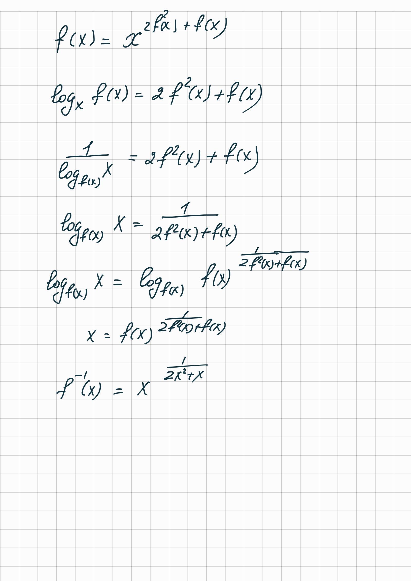
Сначала х выражаем через f(x), затем меняем местами х и f(x)
Так как имеем функцию в степени то прибегает к логарифмированию
Приложения:

versachexdior:
СПАСИБО ОГРОМНОЕ! ВЫ ЛУЧШАЯ♡
Вас заинтересует
2 года назад
2 года назад
2 года назад
2 года назад
9 лет назад
9 лет назад