• Предмет: Алгебра
  • Автор: Натаашка
  • Вопрос задан 11 лет назад

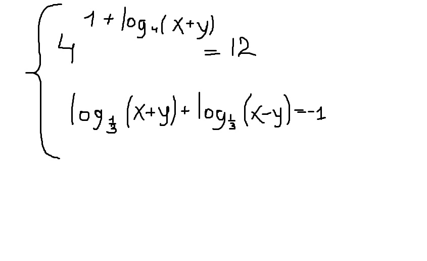
Помогите решить пожалуйста систему уравнений!Забыла как!

Приложения:

Ответы

Ответ дал: bearcab
0
Решение смотри во вложениях
Приложения:
Вас заинтересует