• Предмет: Математика
  • Автор: milkspi
  • Вопрос задан 7 лет назад

ПОМОГИТЕ ПОЖАЛУЙСТА ЭТО ООЧЕНЬ ВАЖНО....​

Приложения:

Ответы

Ответ дал: wowlia
1

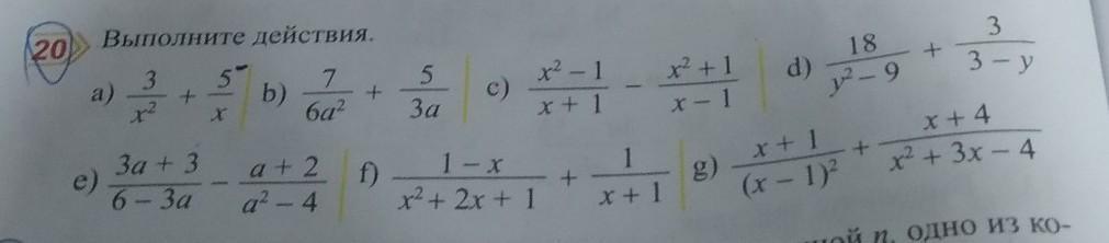
а) \frac{3}{x^{2} } +\frac{5}{x}=\frac{3+5x}{x^{2} }

b) \frac{7}{6a^{2} } +\frac{5}{3a} =\frac{7+5*2a}{6a^{2} } =\frac{7+10a}{6a^{2} }

c) \frac{x^{2}-1 }{x+1} -\frac{x^{2} +1}{x-1}=\frac{(x-1)(x+1)}{x+1}-\frac{x^{2} +1}{x-1}=(x-1)-\frac{x^{2} +1}{x-1}=\frac{(x-1)(x-1)-x^{2} -1}{x-1} =\frac{x^{2} -x-x+1-x^{2} -1}{x-1}=\frac{-2x}{x-1}

d) \frac{18}{y^{2}-9 } +\frac{3}{3-y}=\frac{18}{(y-3)(y+3)}-\frac{3}{y-3}=\frac{18-3(y+3)}{(y-3)(y+3)}=\frac{18-3y-9}{(y-3)(y+3)}=\frac{-3y+9}{(y-3)(y+3)}=\frac{-3(y-3)}{(y-3)(y+3)}=\frac{-3}{y+3}=-\frac{3}{y+3}

e)\frac{3a+3}{6-3a} -\frac{a+2}{a^{2}-4 }=\frac{3(a+1)}{3(2-a)}-\frac{a+2}{(a-2)(a+2)}=\frac{a+1}{2-a}-\frac{1}{a-2}=\frac{a+1}{2-a}+\frac{1}{2-a}=\frac{a+2}{2-a}

f) \frac{1-x}{x^{2} +2x+1}+\frac{1}{x+1}=\frac{1-x}{(x+1)(x+1)}+\frac{1}{x+1}=\frac{1-x+1(x+1)}{(x+1)^{2}}=\frac{1-x+x+1}{(x+1)^{2} } =\frac{2}{(x+1)^2}

g)\frac{x+1}{(x-1)^2}+\frac{x+4}{x^2+3x-4}=\frac{x+1}{(x-1)^2}+\frac{x+4}{(x+4)(x-1)}=\frac{(x+1)(x+4)+(x+4)(x-1)}{(x-1)^2(x+4)}=\frac{x^2+4x+x+4+x^2-x+4x-4}{(x-1)^2(x+4)}=\frac{2x^2+8x}{(x-1)^2(x+4)}=\frac{2x(x+4)}{(x-1)^2(x+4)} =\frac{2x}{(x-1)^2}


milkspi: Как и всегда большое спасибо)
Вас заинтересует