Ответы
Ответ дал:
1
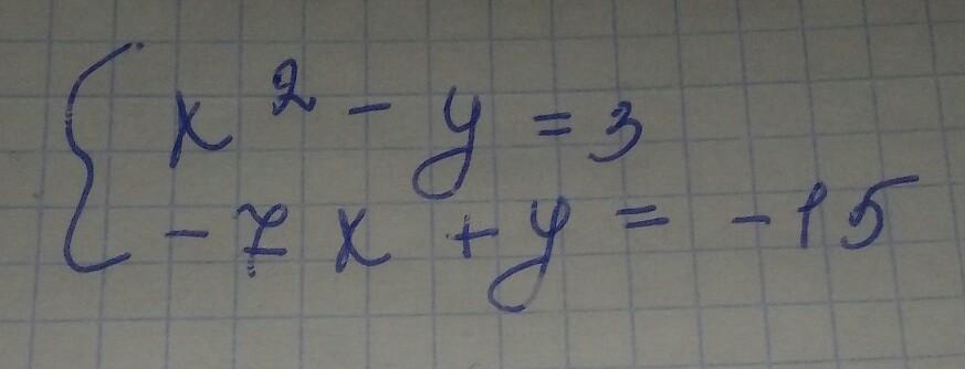
Все решение на фото. Ответ все записывают по-разному, запишите, как пишите вы.
Приложения:

mupexa:
благодарю
Вас заинтересует
2 года назад
2 года назад
2 года назад
8 лет назад
8 лет назад
9 лет назад
9 лет назад