• Предмет: Алгебра
  • Автор: isaevaadia001
  • Вопрос задан 7 лет назад

Помогите пжжжжпжжжжсрочнооооо

Приложения:

Ответы

Ответ дал: lhelpyou
1

Ответ:

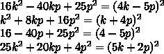
См картинку, там все указано

Приложения:
Вас заинтересует