• Предмет: Алгебра
  • Автор: neponall888
  • Вопрос задан 7 лет назад

Срочно помогите Якласс
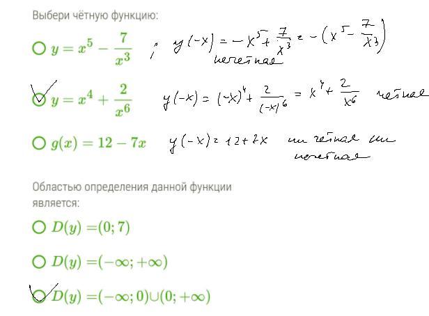
Четные нечетные функции

Приложения:

Ответы

Ответ дал: dashulka22222
0

Ответ:

Объяснение:

четная - не меняется при подстановки вместо х значение (-х)

Приложения:
Вас заинтересует