Ответы
Ответ дал:
0
Ответ:
Пошаговое объяснение:
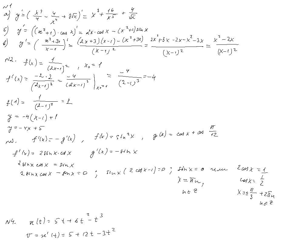
в последнем задании отсутствует само задание. я нашла скорость.
Приложения:

Вас заинтересует
2 года назад
2 года назад
2 года назад
9 лет назад